当前位置: 公司首页 > 科研进展 > 正文

科研进展

《Global Change Biology》发表罗卫红教授团队“The impact of global dimming on crop yields isdetermined by the source‐sink imbalance of carbon during grain filling”

发布人:     发布日期: 2020-11-23    浏览次数:


近些年来,随着空气微粒的增加,太阳光的反射比例增加而照射至地面的光逐渐减少,这种现象被称为全球暗化( Global Dimming )。由于光照强度是影响植物光合作用和生长的最主要因素之一,全球暗化的加剧势必会对农作物生产造成威胁。研究表明,光照强度的降低不仅会阻碍叶片光合作用并导致总碳源供应能力的降低,同时籽粒重量等产量构成等也受到影响,这意味着全球暗化背景下源库关系平衡发生了改变【 1 】。此外,光合同化能力还取决于氮的有效应,氮素的源库关系变化也会影响作物的生长及产量平衡【 2 】。但是目前尚不清楚全球暗化对作物产量的影响及其与碳氮源库平衡的关系。



 


近日,william威廉亚洲官方罗卫红教授与荷兰瓦赫宁根大学  Xinyou Yin 等在生态学顶级期刊 Global Change Biology 合作发表了一篇题为 The impact of global dimming on crop yields isdetermined by the source‐sink imbalance of carbon during grain filling 的研究论文,在水稻和小麦中揭示了全球变暗对碳氮源库关系的影响。



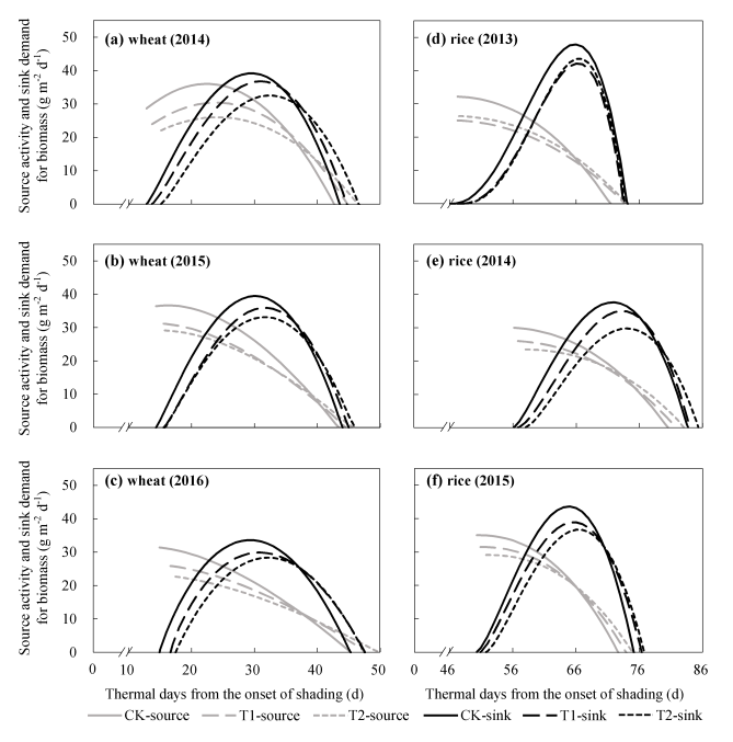
该研究通过遮光模拟全球暗化,并统计了多年田间试验的小麦 / 水稻地上部及穗的生物量和氮累积动态变化,发现全球暗化显著抑制了生物量和氮累积,并且在谷物灌浆过程中总的碳氮供求关系发生不平衡。进一步对碳氮源库关系的动态分析结果表明,全球暗化降低了灌浆过程中碳源及氮源活动的最大和平均速率,而库的碳氮需求随着全球暗化先降低后增加,同时灌浆持续时间普遍增加。


 


此外,该研究发现,在小麦中,全球暗化引起的 C 源供应下降比 C 库需求下降更多,增加的穗后碳缺乏会导致小麦调动更多的穗前碳储备以应对全球暗化。但是这种变化在水稻中是相反的(穗后的碳缺乏降低),可能是由于水稻的冠层辐射利用效率较高并且其库强相对于小麦更有限。同时,该研究还表明与氮相比,全球暗化对碳的源库平衡影响更大。


 

 

Dynamics of sourceactivity (mostly-descending curves) and sink demand (bell-shaped curves) forbiomass during grain filling period for wheat (a, b, c) and rice (d, e, f)

 


总之,该研究表明全球暗化会降低作物的碳氮源库需求,并且穗后的碳源库变化不平衡在作物产量响应中发挥重要作用。我们揭示的源库关系及其在小麦和水稻之间的异同,为减轻全球调光对作物生产力的影响的战略设计提供了基础。


 

 

参考文献

1Shi W., Xiao G., Struik P.C., Jagadish K.S.,& Yin X. (2017). Quantifying source-sink relationships of rice under highnight-time temperature combined with two nitrogen levels. Field Crops Research,202, 36-46

2Wang S., Zhu Y., Jiang H., & Cao W. (2006).Positional differences in nitrogen and sugar concentrationsof upper leaves relate to plant N status in rice under different N rates. Field Crops Research, 96, 224-234